化合物学術情報
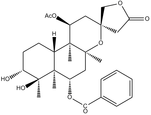
Scuterivulactone C1
( )
|
| 分子式 | C29H38O9 |
| 平均分子量 | |
| 精密分子量 | 530.2515828 |
| [M+H]+ | |
| [M-H]- | |
| CAS | 114489-73-5 |
| NIKKAJI | |
| PUBCHEM No. | |
| 関連生薬 | 半枝蓮 |
| IUPAC_NAME | (1'S,3R,4'aS,6'S,6'aS,7'R,8'R,10'aS,10'bS)-1'-(acetyloxy)-6'-(benzoyloxy)dodecahydro-7',8'-dihydroxy-4'a,6'a,7',10'b-tetramethyl-Spiro[furan-3(2H),3'-[3H]naphtho[2,1-b]pyran]-5(4H)-one |
| 備考 | This compound was isolated and identified from Scutellaria rivularis in INM (original paper 1, original paper 2). |